windailys.com
HOME
About
Contact
Disclaimer
Privacy
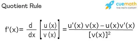
The Quotient Reduction Rule
Oct 13, 2025
by windailys.com
91
views