windailys.com
HOME
About
Contact
Disclaimer
Privacy
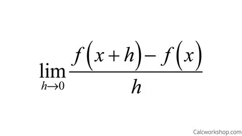
The Definition of the Derivative
Oct 13, 2025
by windailys.com
4
views