windailys.com
HOME
About
Contact
Disclaimer
Privacy
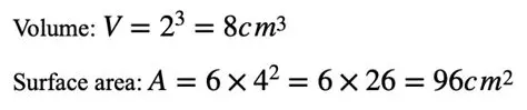
Relationship Between Surface Area and Volume
Oct 13, 2025
by windailys.com
47
views