windailys.com
HOME
About
Contact
Disclaimer
Privacy
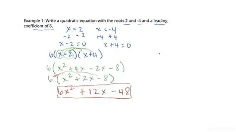
Leading Coefficient and Roots
Oct 13, 2025
by windailys.com
125
views