windailys.com
HOME
About
Contact
Disclaimer
Privacy
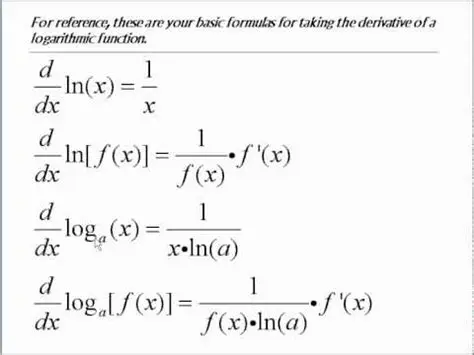
Finding the Derivative of the Logarithmic Term
Oct 13, 2025
by windailys.com
104
views