windailys.com
HOME
About
Contact
Disclaimer
Privacy
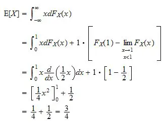
Expectation of an Integral
Oct 13, 2025
by windailys.com
83
views