windailys.com
HOME
About
Contact
Disclaimer
Privacy
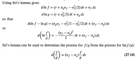
Derivation of the Ito Lemma for Expectation
Oct 13, 2025
by windailys.com
11
views