windailys.com
HOME
About
Contact
Disclaimer
Privacy
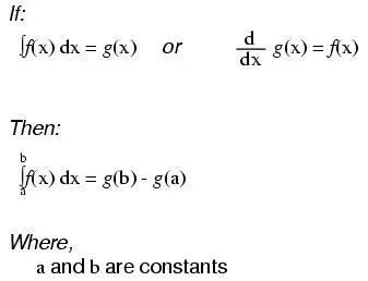
Definite Integrals and the Fundamental Theorem of Calculus
Oct 13, 2025
by windailys.com
25
views