windailys.com
HOME
About
Contact
Disclaimer
Privacy
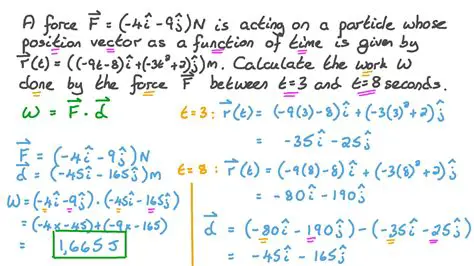
Calculating the Vector Expression
Oct 13, 2025
by windailys.com
34
views