windailys.com
HOME
About
Contact
Disclaimer
Privacy
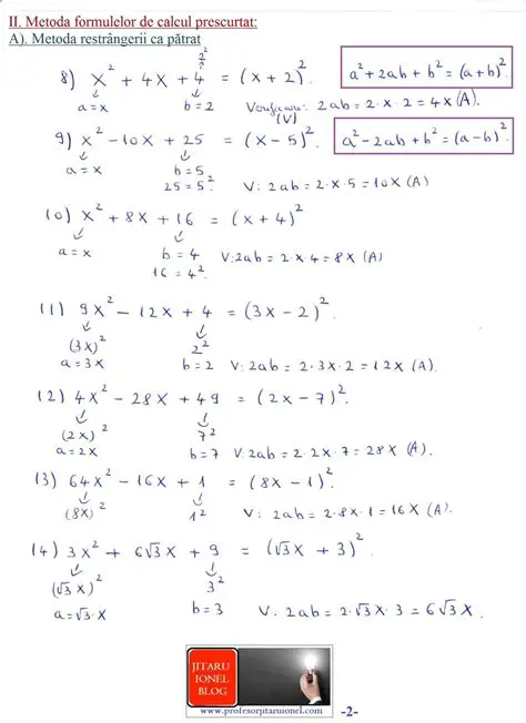
Aplicarea Regulilor de Calcul Algebric
Oct 13, 2025
by windailys.com
17
views